Neu

Alle Karten des Umweltatlas finden Sie in übersichtlicher Anordnung in der neuen Kartenanwendung

Langjährige Entwicklung ausgewählter Klimaparameter 2022

Download

Abbildungen

  • Abb. 24: Standort der Klimastation Dahlem auf dem Gelände des zweiten Standortes des Meteorologischen Institutes der FU Berlin an der Podbielskiallee 62 (Zeitraum vom 03. Oktober 1951 bis 11. Juli 1997)

    JPG-Dokument (24.6 kB)

  • Abb. 25: Aktueller Standort der Klimastation Dahlem auf dem Gelände des Botanischen Gartens Berlin an der Königin-Luise-Str. 6-8 (Zeitraum seit dem 12. Juli 1997)

    JPG-Dokument (20.6 kB)

  • Abb. 26: Aktuelle Lage der Station Berlin-Dahlem

    JPG-Dokument (61.4 kB)

  • Abb. 27: Klimadiagramme der Station Dahlem (FU) für alle Referenzperioden, basierend auf DWD-Stationsdaten

    JPG-Dokument (126.6 kB)

  • Abb. 28: Lage der Station Berlin-Tegel

    JPG-Dokument (62.5 kB)

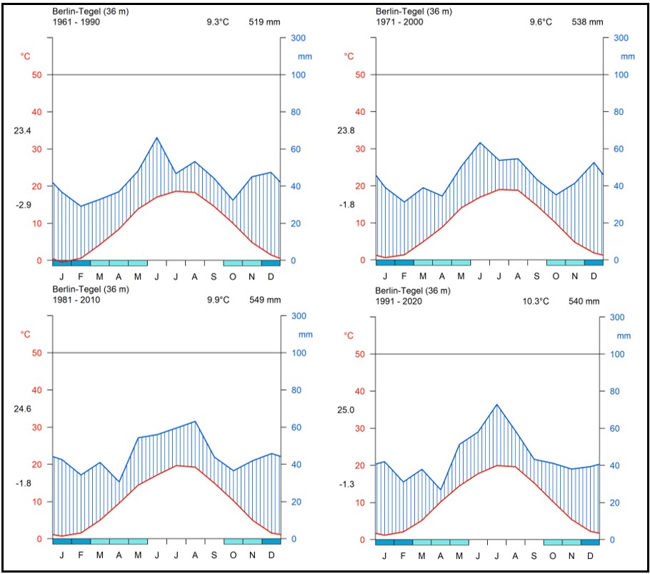
  • Abb. 29: Klimadiagramme der Station Tegel für alle Referenzperioden, basierend auf DWD-Stationsdaten

    JPG-Dokument (120.4 kB)

  • Abb. 30: Windverteilungen der Station Tegel für alle Referenzperioden, basierend auf DWD-Stationsdaten

    JPG-Dokument (103.6 kB)

  • Abb. 31: Windrichtungsverteilung der Station Tegel während autochthoner Nächte in den Sommermonaten Juni, Juli und August für die Zeiträume 1987-1990, 1987-2010 und 1991-2020, basierend auf DWD-Stationsdaten

    JPG-Dokument (61.2 kB)

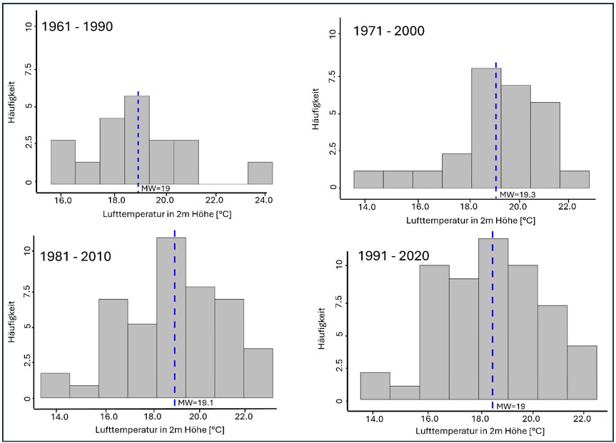
  • Abb. 32: Häufigkeitsverteilung der Lufttemperatur um 21 Uhr an der Station Tegel in den Sommermonaten (JJA) für Sommertage (t_max >= 25°C) für die Zeiträume 1987-2000, 1987-2010 und 1991 -2020, basierend auf DWD-Stationsdaten

    JPG-Dokument (64.3 kB)

  • Abb. 33: Mittlere monatliche Anzahl an autochthonen Nächten an der Station Tegel für die Referenzperioden 1971-2000, 1981-2010, 1991-2020, basierend auf DWD-Stationsdaten

    JPG-Dokument (84.3 kB)

  • Abb. 34: Ansicht der Station Berlin-Tempelhof

    JPG-Dokument (50.3 kB)

  • Abb. 35: Lage der Station Berlin Tempelhof

    JPG-Dokument (54.4 kB)

  • Abb. 36: Klimadiagramme für Lufttemperatur und Niederschlag der Station Berlin-Tempelhof für alle Referenzperioden, basierend auf DWD-Stationsdaten

    JPG-Dokument (130.0 kB)

  • Abb. 37: Windverteilungen aufgeteilt in Tag/Nacht Situation der Station Tempelhof für alle Referenzperioden, basierend auf DWD-Stationsdaten

    JPG-Dokument (106.6 kB)

  • Abb. 38: Windrichtungsverteilung der Station Tempelhof während autochthoner Nächte in den Sommermonaten Juni, Juli und August für die Zeiträume 1987-1990, 1987-2010 und 1991-2020, basierend auf DWD-Stationsdaten

    JPG-Dokument (75.1 kB)

  • Abb. 39: Häufigkeitsverteilung der Lufttemperatur um 21 Uhr während austauscharmer Wetterlagen an der Station Tempelhof in den Sommermonaten (JJA) für Sommertage (t_max >= 25°C), basierend auf DWD-Stationsdaten

    JPG-Dokument (70.4 kB)

  • Abb. 40: Mittlere monatliche Anzahl an autochthonen Nächten an der Station Tempelhof für alle Referenzperioden, basierend auf DWD-Stationsdaten

    JPG-Dokument (97.1 kB)

  • Abb. 41: Lage der Station Potsdam - Telegrafenberg

    JPG-Dokument (63.5 kB)

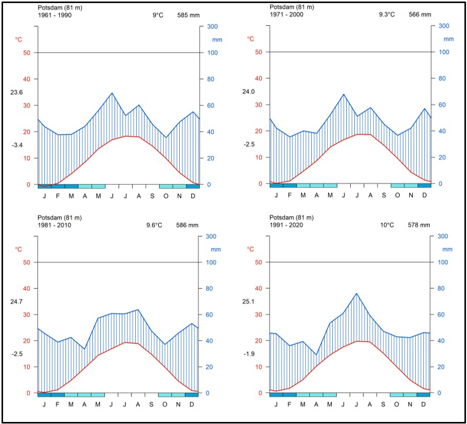
  • Abb. 42: Klimadiagramme für Lufttemperatur und Niederschlag der Station Potsdam-Telegrafenberg für alle Referenzperioden, basierend auf DWD-Stationsdaten

    JPG-Dokument (118.4 kB)

  • Abb. 43: Windverteilungen der Station Potsdam für alle Referenzperioden, basierend auf DWD-Stationsdaten

    JPG-Dokument (106.1 kB)

  • Abb. 44: Windrichtungsverteilung der Station Potsdam während autochthoner Nächte in den Sommermonaten Juni, Juli und August für die Zeiträume 1961-1990, 1971-2000, 1981-2010 und 1991-2020, basierend auf DWD-Stationsdaten

    JPG-Dokument (58.2 kB)

  • Abb. 45: Häufigkeitsverteilung der Lufttemperatur um 21 Uhr an der Station Potsdam in den Sommermonaten (JJA) für Sommertage (t_max >= 25°C) für alle Referenzperioden, basierend auf DWD-Stationsdaten

    JPG-Dokument (74.0 kB)

  • Abb. 46: Mittlere monatliche Anzahl an autochthonen Nächten an der Station Potsdam für alle Referenzperioden, basierend auf DWD-Stationsdaten

    JPG-Dokument (95.1 kB)

Kontakt

Leilah Haag